av在线 计算机与大数据学院
2025年硕士研究生招生复试结果公示
(调剂第一批次)
根据《av在线 计算机与大数据学院2025年硕士研究生招生复试调剂录取实施细则》,av在线 于2025年4月10日对以下考生进行复试,复试结果如下:
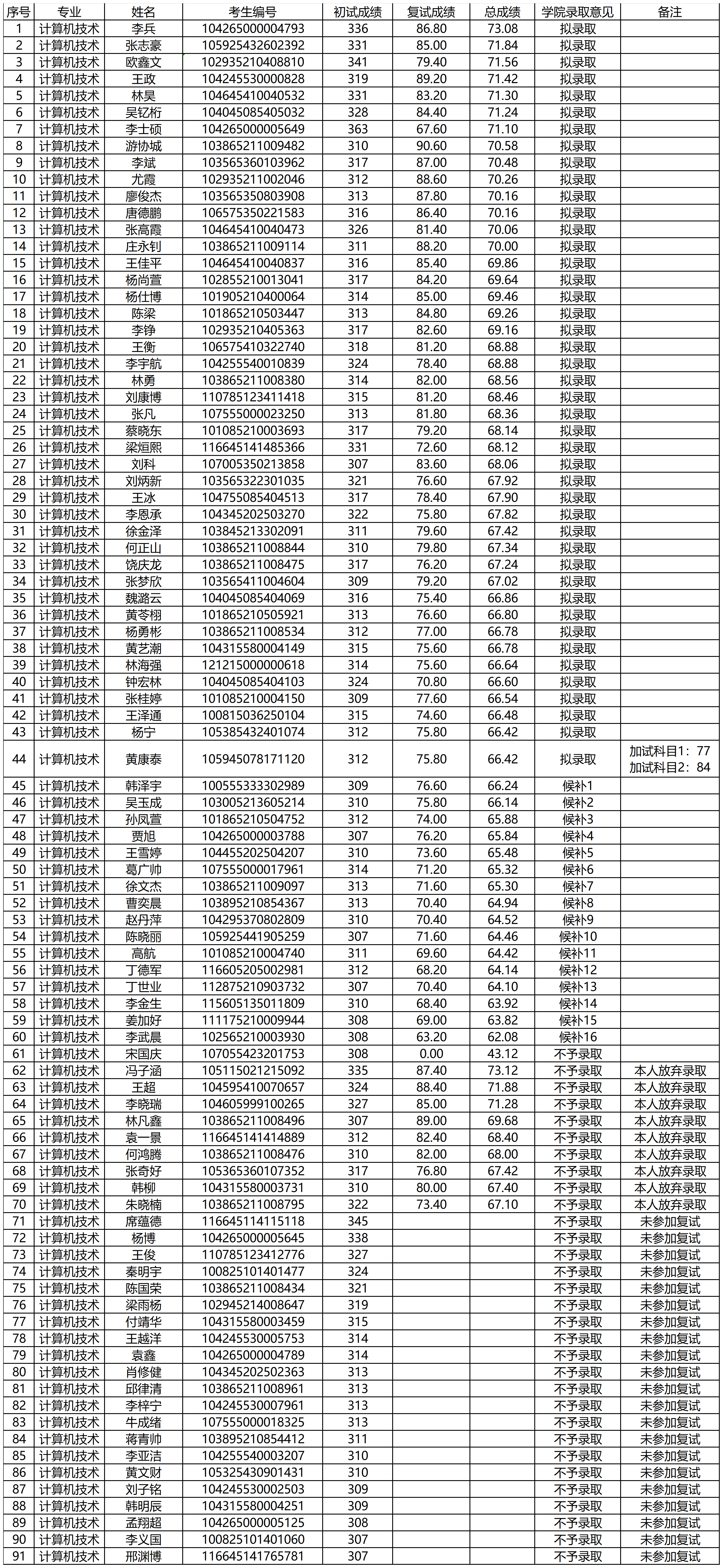
表1 计算机技术专业(全日制)

表2 人工智能专业(全日制)

总成绩计算方式:总成绩(百分制)=初试成绩(折合成100分)×70%+复试成绩×30%(复试成绩、录取成绩均四舍五入后保留小数点后2位)。
特此公示!
有意见者请于4月14日17:00前将意见反馈av在线 。公示无异议后,计算机与大数据学院将此批次复试结果报送学校研究生招生工作领导小组进行审核。
联系人:林老师,吴老师,电话:18006930261,0591-83761607电子邮箱:[email protected]。
特别说明:“候补”名单为满足计算机与大数据学院招生资格,但复试初试总成绩排名低于此批次招生计划的考生。若有拟录取的考生放弃录取资格或追加招生计划,将按照候补顺序按序补录。因候补录取具有不确定性,因选择等候候补录取名额而导致丧失其它调剂机会的后果,由考生自行负责。
av在线 计算机与大数据学院
2025年4月13日


